lunes, 16 de febrero de 2009

Examen Parcial del Bloque II

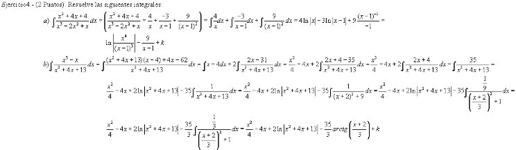
Aquí tenéis el examen parcial del Bloque II en versión imprimible. También os dejo la corrección:

parcial bloque 2 ejercicio 1

parcial bloque 2 ejercicio 2

parcial bloque 2 ejercicio 3

parcial bloque 2 ejercicio 4

parcial bloque 2 ejercicio 5

No hay comentarios: